CV-03 CV-06

PDF下载

描述

单向阀

液压原理图

联系我们

展开全部

  • 技术特性

    ● 当压力超过设定弹簧开启压力,油流则自由通过,
         反 方向则完全不能通过,可作为冷却器及回油滤油
         器的安全装置。
    ● 重力型单向阀可作为其他控制阀的外部导压以维持
         其他控制阀的正常动作。
    ● CRNG 系列安装尺寸符合 ISO-5781 标准。
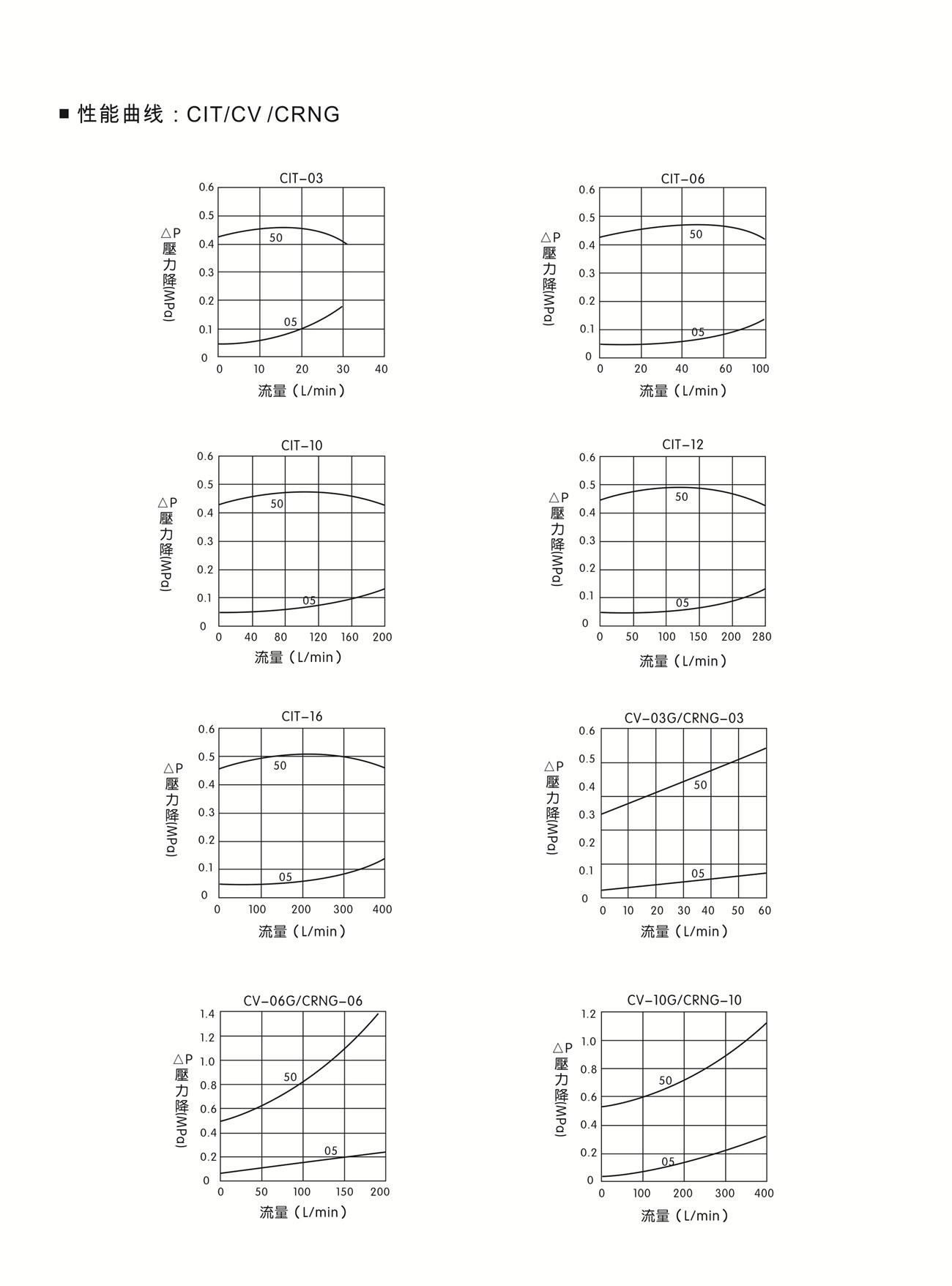
  • 技术曲线

  • 技术参数

  • 文件下载

    PDF文件
  • 相关辅件

联系我们