关于
新闻
信息反馈
联系我们
简体中文
English
关于我们
产品信息
项目案例
新闻动态
客户留言
联系我们
关于我们
公司简介
产品信息
力士乐系列比例伺服阀
比例方向阀
伺服阀
比例压力阀
比例流量阀
比例放大器
压力补偿器
4WRE 4WREE
4WREE
4WRZ
4WRKE
4WRAF
力士乐系列液压阀
流量控制阀
方向阀
单向阀
充液阀
螺纹插装阀
HydraForce系列螺纹电磁阀
SUN系列螺纹插装阀
螺纹插装阀应用及阀组
压力控制阀
溢流阀
电磁溢流阀
减压阀
叠加阀
叠加式压力控制阀
叠加式单向阀
叠加式流量控制阀
传感器
逻辑阀
逻辑阀
逻辑阀应用及阀组
防爆阀
油缸
项目案例
新闻动态
客户留言
联系我们
首页
>
产品信息
>
力士乐系列液压阀
>
单向阀
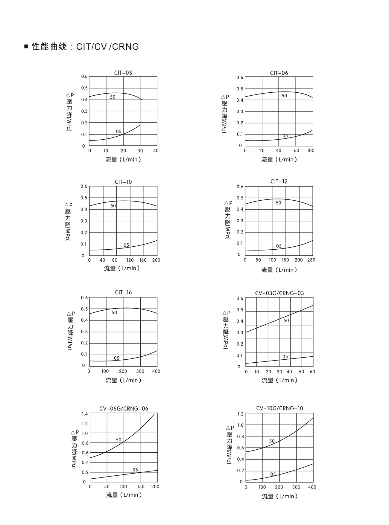
CRNG-03 CRNG-06
PDF下载
描述
非标单向阀
液压原理图
联系我们
展开全部
收起全部
技术特性
技术曲线
技术参数
文件下载
PDF文件
CRNG-03 CRNG-06
相关辅件
联系我们